Conversation
What did make you assume that? Measurements look consistent to me.
You can use sub profiles for that. There are examples in the docs and multiple examples in the profile directory to be found. |
Sorry, that was probably my poor wording — let me rephrase. Would reducing the color-temperature sampling step size lead to a more accurate final result?
Thanks — I'll go through the sub-profiles docs and the examples in the profile directory, and try to add the night light. That said, the overall power swing of the night light mode is very small, so my smart plug may not be able to resolve it reliably. I'll give it a try and see how far I can get. |
|
@bramstroker I have a couple of questions about how sub-profiles should handle standby power: The Issue I'm Running IntoThe main light and night light are mutually exclusive — when one is on, the other is off. So ideally, we should only be measuring energy for whichever mode is actually active at any given time. Right now I have both sub-profiles set up with separate energy entities, which means we could potentially be double-counting standby power if both entities are being tracked. Standby Power ConfigurationI've temporarily set When I tried setting just the main light's sub-profile to My question: Should the standby power be defined at the parent profile level instead? Or is there a better pattern I should use for mutually exclusive sub-profiles like this? I want to make sure the energy calculations are accurate before we finalize this. Any advice would be helpful! |

Device information
Official website(Japanese)
https://japan.yeelight.com/product/1624.html
Instruction manual(Japanese)
https://japan.yeelight.com/wp-content/uploads/sites/5/2021/11/%E3%82%B7%E3%83%BC%E3%83%AA%E3%83%B3%E3%82%B0%E3%83%A9%E3%82%A4%E3%83%88_%E5%8F%96%E3%82%8A%E6%89%B1%E3%81%84%E8%AA%AC%E6%98%8E%E6%9B%B8-Minas%EF%BC%86Minas-%EF%BD%90%E3%82%8D%EF%BC%89.pdf
(Because it's a Japanese model, the information page is only in Japanese.)

Translated by Google
Home Assistant Device information
ceild
Manufacturer: Yeelight
Firmware: 8
Checklist
Additional info
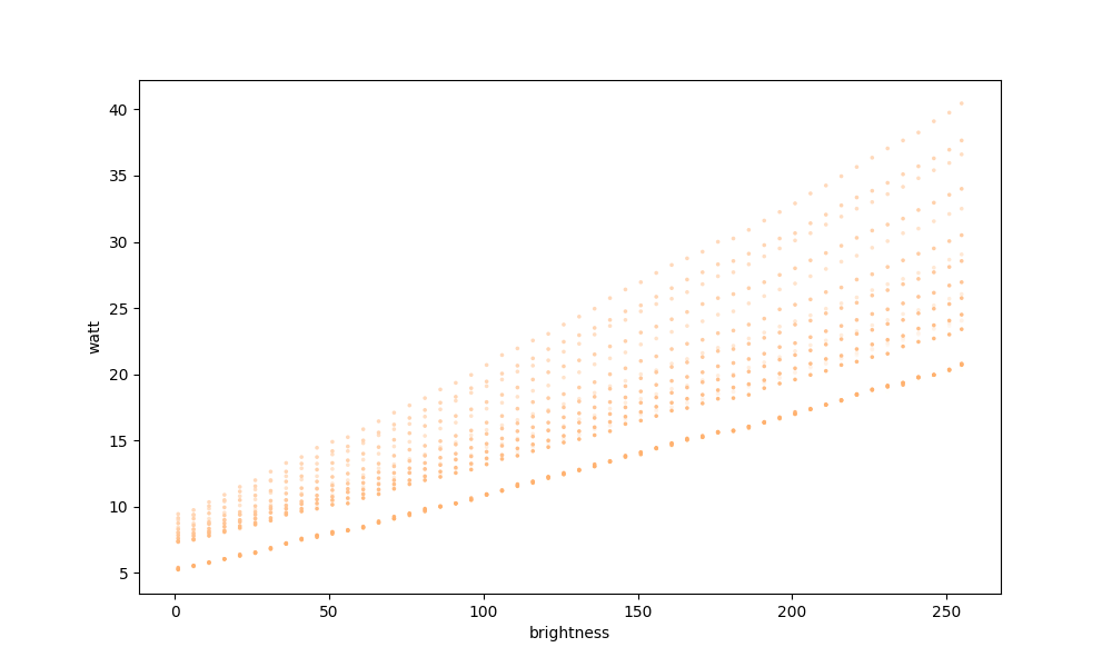
1. Power Measurement Accuracy
The power consumption readings are accurate at low brightness levels. However,
at higher brightness levels, the measurement error can increase to approximately
1.5W. Any suggestions for improving accuracy would be appreciated.
2. Night Light Support
This device supports a night light feature. In Home Assistant, the night light
can be exposed as a separate entity for control, resulting in two light entities
under one device:
How should I structure the model.json (or other configuration files)
to include power measurement data for the night light entity as well?