Add Hue Resonate Downward lamp (929003553001)#4111
Merged
bramstroker merged 5 commits intobramstroker:masterfrom Apr 13, 2026
Merged
Add Hue Resonate Downward lamp (929003553001)#4111bramstroker merged 5 commits intobramstroker:masterfrom
bramstroker merged 5 commits intobramstroker:masterfrom
Conversation
Co-Authored-By: Claude Sonnet 4.6 <noreply@anthropic.com>
…lamp) Co-Authored-By: Claude Sonnet 4.6 <noreply@anthropic.com>
Contributor
Owner
|
@posixx Thanks for the perfect contribution. No remarks. Let's merge! |
This file contains hidden or bidirectional Unicode text that may be interpreted or compiled differently than what appears below. To review, open the file in an editor that reveals hidden Unicode characters.
Learn more about bidirectional Unicode characters
Sign up for free
to join this conversation on GitHub.
Already have an account?
Sign in to comment
Add this suggestion to a batch that can be applied as a single commit.This suggestion is invalid because no changes were made to the code.Suggestions cannot be applied while the pull request is closed.Suggestions cannot be applied while viewing a subset of changes.Only one suggestion per line can be applied in a batch.Add this suggestion to a batch that can be applied as a single commit.Applying suggestions on deleted lines is not supported.You must change the existing code in this line in order to create a valid suggestion.Outdated suggestions cannot be applied.This suggestion has been applied or marked resolved.Suggestions cannot be applied from pending reviews.Suggestions cannot be applied on multi-line comments.Suggestions cannot be applied while the pull request is queued to merge.Suggestion cannot be applied right now. Please check back later.


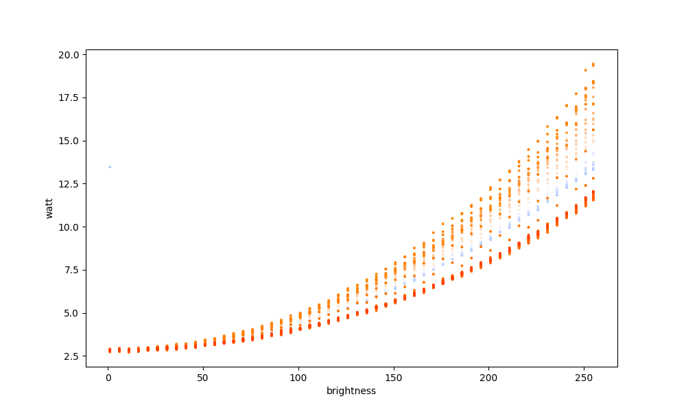
Device information
Power profile for Signify Hue Resonate Downward wall lamp: https://www.philips-hue.com/nl-nl/p/hue-white-and-color-ambiance-resonate-down-muurlamp/8719514466777
Home Assistant Device information
Hue outdoor Resonate downward wall lamp (929003553001)
door Philips
Firmware: 1.122.2
Hardware: 0
Checklist
Please check all the boxes when applicable.
Additional info
Measured using Shello PM Mini Gen3 and dummy load