Conversation
|
@bramstroker and theoretically, shouldn't my latest PR have automatically detected my spots? Or does that take some time? |
|
Did you notice the existing centris profiles in the library?
You are controlling the whole centris fixture as one, right? Or can you control the 4 spots and downlight separately as 5 entities in HA?
Do you have the link to the PR? Still not detected? |
|
No, I haven't seen the Centris profile. And I can control all 5 lights, the 4 GU10 spotlights and the large one in the middle, individually. In Home Assistant, these are 5 entities. However, I integrated my lights directly via Zigbee and not through the Hue Bridge.
And that issue has been resolved; it just took a little while for them to be recognized. |
|
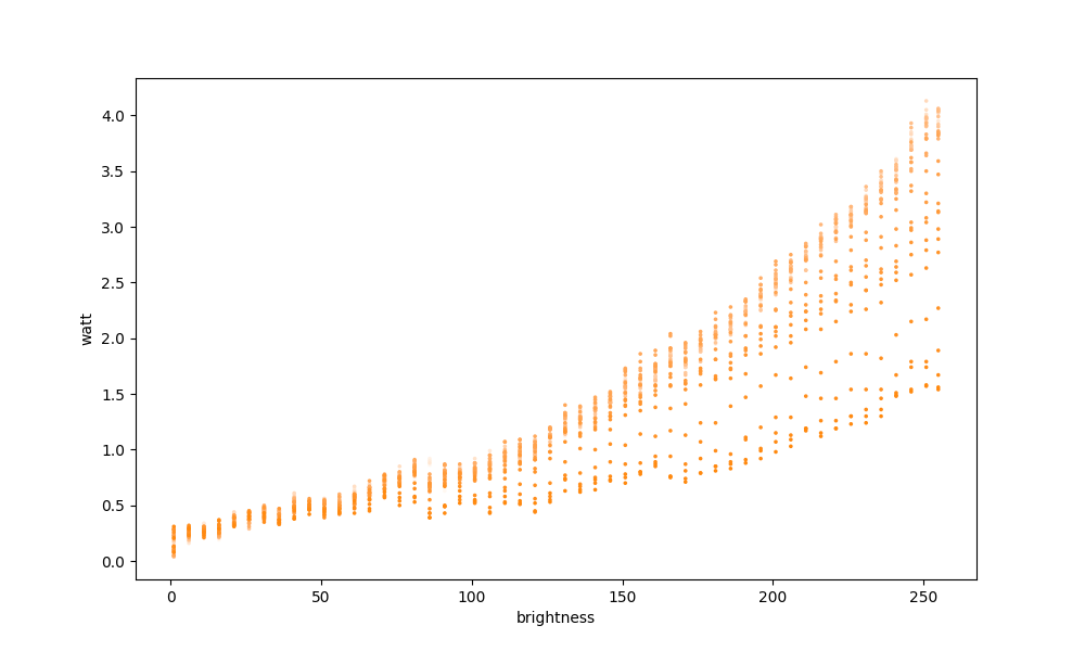
We already have this GU10 spot in the library: It also includes That said, I do have some doubts about the correctness. The measured max power for the It might be better to first review the existing Signify GU10 profiles in the library to see if there’s already a closer match (around ~4.2 W max): I highly doubt we need to introduce a completely new profile here. A more likely approach would be to add the _02 → _05 variants as aliases to an existing profile that better matches the specs. Also, your measurements don’t look entirely consistent. That could be related to the dummy load used. You mention using an “E27 25 W light bulb”, can you clarify if that’s:
Only incandescent bulbs should be used as a dummy load to get reliable measurements. |
|
All the Hue GU10 bulbs listed in the library have a wattage higher than the 4.2W of the one I have. However, I found Argenta in the library, and that lamp also only has GU10 spots, which match mine quite well. We could add aliases 929003808901_02 through _05 and possibly change the name to make it clearer that the lamp also uses GU10 spots. And yes, I use an incandescent bulb, but I've noticed that when it's on for a long time, its power consumption becomes a bit inconsistent. I still need to figure out why that is. |
|
Nice find. I prefer to do that and maintain one profile for the same spot. The existing profile also seem to be a bit more consistent. We might also rename the profile to: |
|
Should I also change the author information? |
|
Please leave the author information as it is. We only update the author when a profile is remeasured and officially adopted. When adding new aliases, the original author should remain unchanged. Also, you modified library.json, which is why you're seeing conflicts. You can resolve this by selecting “resolve conflicts” and choosing the upstream version. That should fix the issue. There’s no need to update library.json manually, as it is auto-generated by a GitHub Action. |
|
I have to say that I didn't modify library.json. I made the changes in GitHub's online editor; I have no idea if any scripts run automatically there. Do I have to click on “accept current change” for all 300 of them? |
Ah, good to know. WIll have a look what causes this and how to prevent it for PR's. |



Device information
Add Signify Hue GU10 White and Color 400lm. These are the 4 GU10 spotlights that came with my Centris. Unfortunately, I don't know if they're just rebranded GU10s. That's probably why they end in _02 through _05. And on the lamp itself, it says: 9290026665

Home Assistant Device information
929003808901_02
von Signify Netherlands B.V.
Verbunden über Home Assistant Connect ZBT-1
Firmware: 0x01002702
Zigbee: 00:17:88:01:0E:E3:3E:68
Checklist
Additional info